Main Products
- Phosphonates Antiscalants, Corrosion
Inhibitors and Chelating Agents - Salts of Phosphonates
-
- Tetra Sodium Salt of 1-Hydroxy Ethylidene-1,1-Diphosphonic Acid (HEDP•Na4)
- Tetra Sodium Salt of 1-Hydroxy Ethylidene-1,1-Diphosphonic Acid (HEDP•Na4)
- 2-Phosphonobutane -1,2,4-Tricarboxylic Acid, Sodium salt (PBTC•Na4)
- Penta sodium salt of Amino Trimethylene Phosphonic Acid (ATMP•Na5)
- Hepta sodium salt of Diethylene Triamine Penta (Methylene Phosphonic Acid) (DTPMP•Na7)
- Potassium Salt of HexaMethylene-DiamineTetra (MethylenePhosphonic Acid) HMDTMPA•K6
- More
- Polycarboxylic antiscalant and dispersant
- Biodegradable antiscalant and dispersant
- Biocide and Algicide
- Built Scale & Corrosion Inhibitors and Pretreatment Filming Agents
-
- TH-907 Non-P Scale&Corrosion Inhibitor
- TH-503 Scale and Corrosion Inhibitor for Boiler
- TH-503B Scale and Corrosion Inhibitor for Boiler
- TH-504 Scale and Corrosion Inhibitor for Heating Water
- TH-601 Scale and Corrosion Inhibitor for Iron & Steel Plant
- TH-604 Scale and Corrosion Inhibitor for Power Plant
- More
- Corrosion Inhibitor
- Oxygen Scavenger
- Reverse Osmosis Chemicals
- Other
Shandong Taihe Technologies Co., Ltd.
TEL: +86-632-5113066
FAX: +86-632-5112055
E-mail: info@thwater.net
ADD: No.1, Shiliquan East Road, Shizhong District, Zaozhuang City, Shandong Province, P.R.China
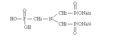
Tetra sodium salt of Amino Trimethylene
Phosphonic Acid (ATMP•Na4)
CAS No. 20592-85-2
Molecular Formula: C3H8NO9P3Na4 Molecular weight: 387
Structural Formula:

Properties:
ATMP•Na4 is the salt of ATMP, it can inhibit the scale formation, calcium carbonate in particular, in water system. ATMP•Na4 can be used in circulating cool system in power plant, oil refinery plant and oilfield refill water system. ATMP•Na4 has good synergistic effects with other additives, in neutral to acidic condition, no ammonia smell is let off.
Specification:
| Items | Index |
|---|---|
| Appearance | Colorless or light yellow transparent liquid |
| Active content (ATMP)% | 29.4-32.4 |
| Active content (ATMP•Na4) % | 38.0-42.0 |
| PH (1% water solution) | 6.5-7.5 |
| Fe,mg/L | 10.0 max |
| Density (20℃) g/cm3 | 1.35-1.45 |
Usage:
ATMP•Na4 is used together with other organophosphonic acid, polycarboxylic acid or salt to form organic alkaline agents, it is used in circulating cool water system for all water quality.
Package and Storage:
200L plastic drum,IBC(1000L), customers' requirement. Storage for twelve months in shady room and dry place.


